Rubrika: Scigifoto

Horské dráhy z Jihoafrické republiky

Pozorování v Jihoafrické republice neskončilo pouze jednou fázovou křivkou a pozorovací čas se využíval na maximum. Zejména v posledních dnech se nám roztrhl pytel s minimy. Zde je malá ochutnávka proměnek jižní oblohy. ASASSN-V J134357.79-535409.5 Tento systém se nachází v souhvězdí Kentaura, jež je viditelné v první části noci. Mělo by se jednat o vícenásobný…
Více

TESS kandidát s periodou 19,3 dne polapen!

TESS (Transiting Exoplanet Survey Satellite), je kosmický dalekohled pro program NASA explorer, který je navržen tak, aby hledal exoplanety pomocí transitní metody. K dnešnímu dni TESS detekoval celkem 7747 exoplanetárních kandidátů, z nichž 543 bylo potvrzeno jako exoplanety a dalších 7204 čeká na potvrzení. Tedy po včerejší noci už jen 7203 🙂    

Pohlednice z JARu

Na letošní expedici máme ve spolupráci s Masarykovou univerzitou k dispozici pozorovací čas na observatoři Boyden (Jihoafrická republika). Díky tomu se nám podařilo během dvou nocí napozorovat fázovou křivku krátkoperiodické zákrytové dvojhvězdy. Jednalo se o systém V2261 Sgr v souhvězdí Střelce, které je od nás pozorovatelné jen po krátkou dobu. Konkrétní objekt je v našich…
Více

Exoplanet transit with a 1.3 inch lens?🤔

I malým přístrojem se dá sehrát velké divadlo! V našem případě se jedná o objektiv Carl Zeiss Jena – Sonnar MC 135mm/F3.5, přes který jsme pak za pomoci astronomické kamery MII G2-8300 detekovali přechod exoplanety HAT-P-32b. Exoplaneta se nachází u hvězdy vzdálené 950 světelných roků od Země. Hmotnost této exoplanety je 0,68 hmotností Jupiteru a…
Více

Nemá někdo Měsíc navíc?

Toho rána byl seeing poněkud neklidný, ale i tak se nám podařilo z našeho pozorování získat úctyhodné detaily. Část Měsíce ale vzala za své.   Foto: Martin Tylšar, Zpracování: Tomáš Rektořík

Toto není Jupiter!

Saturn, druhá největší planeta Sluneční soustavy, je známá svým impozantním systémem prstenců. Během své poutě okolo Slunce mění své natočení tak, že prstence, které jsou tenké jen několik stovek metrů, přestávají být postupně ze Země vidět. Takový pohled mizejících prstenců se nám naskytl i na letošní Astronomické expedici a na jaře příštího roku pak prstence…
Více

První expediční pozorování Slunce

Na Slunci se toho poslední dobou děje opravdu hodně! Fakulová pole, protuberance, sluneční skvrny – to vše můžete spatřit, jestliže máte potřebné vybavení. Pro naše pozorování jsme použili ve spolupráci se sluneční skupinou jejich H-alpha dalekohled Lunt LS60T s kamerou ZWO ASI178MC. V monitorování sluneční aktivity budeme pokračovat nadále.  

První expediční měření kvality oblohy

Po více než měsíci, kdy nad územím ČR nenastávala astronomická noc, se nám včera naskytla opět příležitost, toto měření provést. Jas oblohy nad našimi pozorvacími stanovišti je i letos uspokojivý. http://www.skyquality.cz/observation/show?observationId=2068 http://www.skyquality.cz/observation/show?observationId=2070            

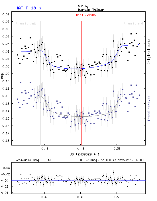
První expediční exoplaneta

Počasí se s námi vůbec nemaže a hned ze startu nám přináší jasné noci. Jak jinak zahájit expedici, nežli transitem 🙂 http://var2.astro.cz/tresca/transit-detail.php?id=1722244577&lang=en

Všehochuť v Kasiopei a Perseovi

Během hojného množství letošních jasných nocí se našel čas vyfotit i mlhovinu Srdce, Duše a dvojitou hvězdokupu X a h v Perseovi. 111 x 60 s na Canon EOS 40D; 135 mm f/3,5