1./2.8. – Noc prvního setkání s realitou v CCD skupině
Po takřka deseti dnech přečkaných na Úpické hvězdárně jen s vírou, že se vyjasní, došlo konečně k očekávanému umoudření počasí. Myslíte, že jsme měli radost? Z počátku ani ne, ale pak noc polehoučku nabírala na obrátkách a my jsme začínali cítit onen pocit sebeuspokojení, který člověk pociťuje, když se mu něco daří. No daří, po pravdě musím přiznat, že asi do druhé ranní se nám nedařilo vůbec nic. Montáže si dělaly, co je napadlo, hvězdy nebyly tam, kde by slušné hvězdy měli být a vše se na nás hroutilo. Ale najednou, jako kdyby zasáhla nějaká dobrá síla, vše začalo fungovat a my jsme se pustili konečně do práce.
Čas nám v průběhu snímání rychle ubíhal, obloha byla jasná a my jsme se do spacáků dostali až kolem páté ranní (nutno zde poznamenat, že Alfa už touto dobou dávno sladce podřimoval).
Zpracování nám zabralo celý následující den. Ani si neumíte představit, jak je složité kombinovat pět počítačů, když každý umí něco jiného (na jednom jede internet, další odečítá korekční snímky, jiný vykresluje grafy,..). Ale i přes řadu obtíží jsme se dopracovali k nějakým výsledkům, ty jsou blíže popsány níže. V průběhu noci jsme pracovali s třemi dalekohledy, ve třech skupinkách a na třech různých úkolech, proto se začtěte do výsledků práce jednotlivých skupinek a dovolte nám se aspoň trochu pochlubit.
Dalekohled „DROBEK“ SW 200/1000 (newton), Sbig ST-7; střecha Úpické hvězdárny (Šárka Dvořáková, Lukáš Timko)
Celou první polovinu noci jsme se potýkali s potížemi při ustavování montáže. Asi hodinu po půlnočce se konečně podařilo dalekohled ustavit a provést jeho pointaci. Konečně jsme mohli pozorovat! Protože to bylo první pozorování s touto kamerou, rozhodli jsme se nafotit, spíše tak na zkoušku, kometu Garradd. Kometu najdete v souhvězdí Pegase v blízkosti jasné kulové hvězdokupy M15 a její jasnost se pohybuje kolem 8 mag. Bohužel nebyly zrovna ideální podmínky a hlavně se nám běhěm focení zatáhlo, výsledek tedy není příliš vhodné publikovat.
SW 120/600 (refraktor), Sbig ST-7; hlavní kopule Úpické hvězdárny (Barbora Mikulecká, Michal Vyvlečka, Filip Murár)
V hlavní kopuli jsme se vrhli na proměnku, klasický začátek práce se CCD na Expě. Vybrali jsme si hvězdu s názvem DO Cas, hvězda s hvězdnou velikostí 8,4-9,1mag a periodou 0,68 dne se nám zdála jako příhodný cíl a její čas minima 0:32 UT nám také poměrně vyhovoval. Jednalo se o proměnou hvězdu typu beta Lyr, tedy zákrytovou dvojhvězdu s primárním a sekundárním minimem. Proto jsme na ni namířili dalekohled. Po chvíli tápání v hvězdném poli jsme ji konečně našli a začali snímat.Tvar světelné křivky nás ze začátku zaskočil, ale pak jsme vše srovnali s daty jiných pozorovatelů a myslím, že na naši práci můžeme být hrdí.
SW 150/750 (newton), Sbig ST-7; střecha Úpické hvězdárny (Míla Moudrá)
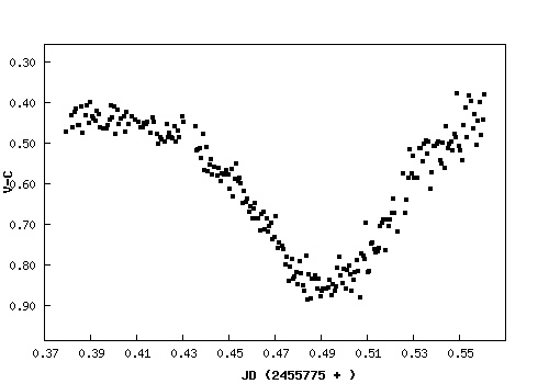
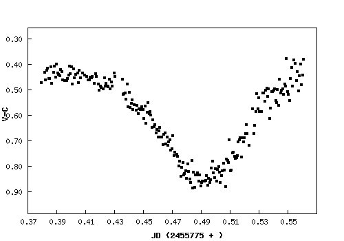
V noci z 1. na 2. srpna jsem pozorovala primární minimum proměnné hvězdy V1031 Cas. Podle O-C brány na var.astro.cz, byla naposledy pozorována při jejím objevení v roce 1999 – u takto „zanedbaných“ hvězd je vhodné provést pozorování ověřující, zda není špatně určená perioda, nebo jestli se s hvězdou prostě nestalo něco naobvyklého. V1031 Cas je zákrytová proměnná typu W UMa (EW) s periodou 0.43 dne (asi deset hodin), tudíž bylo poměrně pravděpodobné, že se mi podaří napozorovat některé z minim i kdyby nastalo výrazněji jindy, než podle předpovědi. Minimum nakonec bylo opožděné oproti předpovědi zhruba o 36 minut. V průběhu noci se občas vyskytla oblačnost a k ránu byl dalekohled poměrně zamlžený, což je vidět na větší chybě měření u vzestupné části křivky. Pozorovací techniku mám zapůjčenou od Sekce proměnných hvězd a exoplanet ČAS, jedná se o newton 150/750 na HEQ5 s ccd kamerou SBIG ST-7 (nepointováno).
Vedlejším produktem pozorování je snímek M57 v Lyře složený z 5s a 10s expozic.
Dle měření (http://skyquality.com/detail?569) Sky Quality Meterem ve 22:30 UT měla obloha průměrně 20.81 MSA.
- M57
- Světelná křivka V1031 Cas


